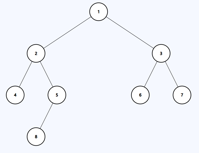
2、 建立二元樹,二元樹規則為層序輸入,依序將節點長出,如果該位子為「None」
則代表此處沒有葉子,例圖如下,輸入依序為 1, 2, 3, 4, 5, 6, 7, None, None, None,
8,所以樹的第一層為 1;第二層為 2、3;第三層為 4、5、6、7;第四層因輸
入的前兩項為 None,代表 4 節點的左子樹與右子樹沒有葉子,故 5 節點的左子樹為 8:

根據圖及文字輸入資料應當是
=================
數位雙生(digital twin),又稱數位分身、數位對映,是現實世界的物理實體在數位平台上的虛擬「雙胞胎」。是現實世界的物理實體(例如人、商品、流程或整套系統)在數位平台上的虛擬「雙胞胎」,可用來觀察實體、或是模擬實體所發生的變化。統稱數位線程(digital thread)的虛擬化工具,可用來確保數位分身的準確度。工業4.0和物聯網(IoT)科技盛行時代,數位分身是絕佳的數位化技術,藉此監督和管理設備,或是模擬不同行為導致的結果,協助管理者做決策。
值得一提的是,數位分身和Meta(舊稱臉書)、微軟等科技巨頭積極投入的「元宇宙」當中的虛擬人物,不一定是同一件事。元宇宙的虛擬人物有如用戶操控的虛擬角色,透過它來體驗元宇宙;數位分身則是現實世界物理實體的數位複製品,盡量接近真實,才能用來監督和管理實體,或是測試影響實體的行為和決策。